Resistência dos vidros (voltagem x temperatura)
Na minha graduação fiz vários relatórios, das mais diversas disciplinas. Aqui, irei apresentar um resumo de um desses relatórios. Esse Relatório foi feito na disciplina de MLG, ministrado pela Prof. Dra. Michelli Karinne Barros da Silva.
Introdução
O objetivo desse trabalho é saber de que forma os níveis de voltagem e temperatura afetam o tempo médio de resistência dos vidros.
Primeiramente foi feito uma análise descritiva dos dados, mostrando a influencia dos dados sobre a variável resposta. E logo após, o ajuste do modelo para mostrar que as variáveis voltagem e temperatura interferem na resistência dos vidros.
Análise de Dados
Nas tabelas abaixo são apresentados os resultados de um experimento, em que a resistência (em horas) de um determinado tipo de vidro, foi avaliada segundo quatro níveis de voltagem (em kilovolts) e duas temperaturas (em graus Celsius).
Dados do Experimento
Voltagens com temperatura de 170c
| 200kV | 250kV | 300kV | 350kV |
|---|---|---|---|
| 439h | 572h | 315h | 258h |
| 904h | 690h | 315h | 258h |
| 1092h | 904h | 439h | 347h |
| 1105h | 1090h | 628h | 588h |
Voltagens com temperatura de 180c
| 200kV | 250kV | 300kV | 350kV |
|---|---|---|---|
| 959h | 216h | 241h | 241h |
| 1065h | 315h | 315h | 241h |
| 1065h | 455h | 332h | 435h |
| 1087h | 473h | 380h | 455h |
Análise Descritiva
Na tabela abaixo são apresentadas as médias, desvios e coeficiente de variação das variáveis Resistência, voltagem e temperatura. Podemos perceber que a resistência média foi de 569,34 ao passo que a voltagem e a temperatura apresentaram médias iguais a 275 e 175, respectivamente. O coeficiente de variação da resistência é próximo de 56%, indicando assim, uma alta dispersão nos dados.
Algumas estatísticas para cada variável
| Resistência | Voltagem | Temperatura | |
|---|---|---|---|
| Média | 569,34 | 275 | 175 |
| Desvio | 316,98 | 56,80 | 5,08 |
| CV | 55,67% | 20,65 % | 2.90 % |
Nas tabelas abaixo, fixando cada uma das co-variáveis, nota-se valores maiores para a resistência média com a menor temperatura (170c) e menor voltagem (200kV). Todavia, o coeficiente de variação apesar de diminuir quando fixa-se as co-variáveis, apresenta uma dispersão média dos dados.
Resistencia fixando a temperatura
| Resistência à 170c | Resistência à 180c | |
|---|---|---|
| Média | 621,50 | 517,19 |
| Desvio | 309,47 | 325,67 |
| CV | 49,80% | 62,97% |
Resistencia fixando as voltagens
| Resistência à 200kv | Resistência à 250kv | Resistência à 300kv | Resistência à 350kv | |
|---|---|---|---|---|
| Média | 964,50 | 589,38 | 370,63 | 352,88 |
| Desvio | 223,94 | 294,31 | 118,67 | 128,47 |
| CV | 23,21% | 49,93% | 32,01% | 36,40% |
Percebe-se que as maiores médias da resistência, foram com menor voltagem 200kv e temperatura 170c.
É possível ver também esses dois fatores acontecendo no gráfico abaixo.
Nota-se duas observações discrepantes nos dados, uma com voltagem a 200kV e a outra a 300kV.
Ainda é possível ver a voltagem e temperatura interagindo sobre a resistência do vidro. Como é mostrado no gráfico abaixo

Ainda, podemos fixar as duas variáveis voltagem e temperatura e ver as estatísticas descritivas para cada uma delas.
Algumas estatísticas para a resistência fixando a temperatura a 170c e variando a voltagem
| Resistência à 200kv e 170c | Resistência à 250kv e 170c | Resistência à 300kv e 170c | Resistência à 350kv e 170c | |
|---|---|---|---|---|
| Média | 885,00 | 814,00 | 424,25 | 362,75 |
| Desvio | 311,20 | 229,65 | 158,88 | 155,92 |
| CV | 35,16 % | 28,21% | 34,85% | 42,98 % |
Algumas estatísticas para a resistência fixando a temperatura a 180c e variando a voltagem
| Resistência à 200kv e 180c | Resistência à 250kv e 180c | Resistência à 300kv e 180c | Resistência à 350kv e 180c | |
|---|---|---|---|---|
| Média | 1,04 | 364,75 | 317,00 | 343,00 |
| Desvio | 5,76 | 121,74 | 57,66 | 118,06 |
| CV | 5,52% | 33,38% | 18,19% | 34,42% |
O mesmo acontece com a análise anterior, a maior média da resistência se da pela temperatura a 170c e voltagem 200kV, sendo ela 885,00.
Já no gráfico de interação, indica-se uma redução da resistência média à medida que aumenta o nível de voltagem. Além disso, há indicação de interação entre voltagem e temperatura.

Ajuste do Modelo
Para fazer o ajuste do modelo precisamos saber qual distribuição melhor se encaixa com os dados. Para isso o gráfico abaixo mostra se existe algum tipo de simetria.

Como o interesse principal desse estudo é comparar as resistências médias, é usual neste tipo de estudo, assumir respostas com alguma distribuição assimétrica. Isso foi comprovado na figura acima, que mostrou possuir assimetria a esquerda. Assim, vamos propor que a variável resposta tenha distribuição gama.
Foram considerado dois ajustes, sem e com interação da voltagem e temperatura.
Na tabela abaixo são apresentados as estimativas do ajuste sem a interação. Todas as estimativas foram bastante significativas.
| Variável | Estimativas | P-valor |
|---|---|---|
| Intercepto | 1039,94 | 0.00 |
| Voltagem (250kV) | -426,49 | 0.00 |
| Voltagem (300kV) | -608,81 | 0.00 |
| Voltagem (350kV) | -612,89 | 0.00 |
| Temperatura (180c) | -117,78 | 0.05 |
| phi | 9.49 (2,33) | - |
No ajuste com interação, algumas variáveis da interação foram significativas a 5%.
| Variável | Estimativas | P-valor |
|---|---|---|
| Intercepto | 885,00 | 0,00 |
| Voltagem (250kV) | -71,00 | 0,71 |
| Voltagem (300kV) | -460,75 | 0,01 |
| Voltagem (350kV) | -522,25 | 0,00 |
| Temperatura (180c) | 159,00 | 0,46 |
| Voltagem (250kV) : Temperatura (180c) | -608,25 | 0,03 |
| Voltagem (300kV) : Temperatura (180c) | -266,25 | 0,26 |
| Voltagem (350kV) : Temperatura (180c) | -178,75 | 0,44 |
| phi | 13,35 (3,30) | - |
Para decidir qual ajuste usar, foi feito um teste F utilizando os dois ajustes. As hipóteses do teste F são:
$H_0$: Teste sem interação;
$H_1$: Teste com interação
As estimativas do teste F foram:
| Teste F | P-valor |
|---|---|
| 3.45 | 0.0325 |
No qual, foi mostrado que o ajuste com interação é mais apropriado ao nível de significância a 5%. Porém a 1% o mesmo deixa de ser significativo, nos mostrando que não a diferença de escolha.
Inicialmente foi feito uma seleção de variáveis através do método AKAIKE. Contudo, nenhuma variável deixou de ser significativa, nos mostrando que a resistência depende da voltagem e temperatura.
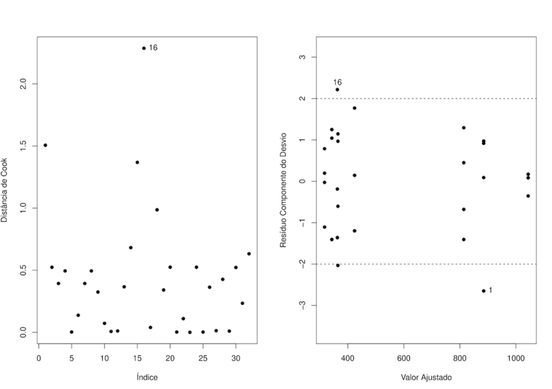
Na Figura abaixo são apresentados alguns gráficos de diagnóstico, notamos uma discrepância da observação 16, que aparece como ponto influente e aberrante. Além disso, notamos indícios de heteroscedasticidade, ou seja, uma diminuição da variabilidade com o aumento do valor ajustado. Assim, podemos propor um modelo alternativo, que ajuste melhor a variância que o modelo Gamma.

A eliminação desses pontos muda as estimativas, embora não mude a inferência. As novas estimativas são:
| Estimativas sem a obs. 1 | Estimativas sem a obs. 16 | Estimativas sem as obs. 1 e 16 | |
|---|---|---|---|
| Intercepto | 1033,67 | 885,00 | 1033,67 |
| Voltagem (250kV) | -219,67 | -71,00 | -219,67 |
| Voltagem (300kV) | -609,42 | -460,80 | -609,42 |
| Voltagem (350kV) | -670,92 | -597,30 | -746,00 |
| Temperatura (180c) | 10,33 | 159,00 | 10,33 |
| Voltagem (250kV) e Temperatura (180c) | -459,58 | -608,20 | -459,58 |
| Voltagem (300kV) e Temperatura (180c) | -117,58 | -266,20 | -117,58 |
| Voltagem (350kV) e Temperatura (180c) | -30,08 | -103,70 | 45,00 |
| phi | 16,00 (4,023) | 15,65 (3,93) | 19,75 (5,06) |
Ao verificar o impacto que houve na retirada dessas obs. Temos :
| Impacto sem a obs. 1 | Impacto sem a obs. 16 | Impacto sem as obs.1 e 16 | |
|---|---|---|---|
| Intercepto | -16,80 | 0,00 | -16,80 |
| Voltagem (250kV) | -209,39 | 0,00 | -209,39 |
| Voltagem (300kV) | -32,27 | 0,00 | -32,27 |
| Voltagem (350kV) | -28,47 | -14,38 | -42,84 |
| Temperatura (180c) | 93,50 | 0,00 | 93,50 |
| Voltagem (250kV) : Temperatura (180c) | 24,44 | 0,00 | 24,44 |
| Voltagem (300kV) : Temperatura (180c) | 55,84 | 0,00 | 55,84 |
| Voltagem (350kV) : Temperatura (180c) | 83,17 | 42,01 | 125,18 |
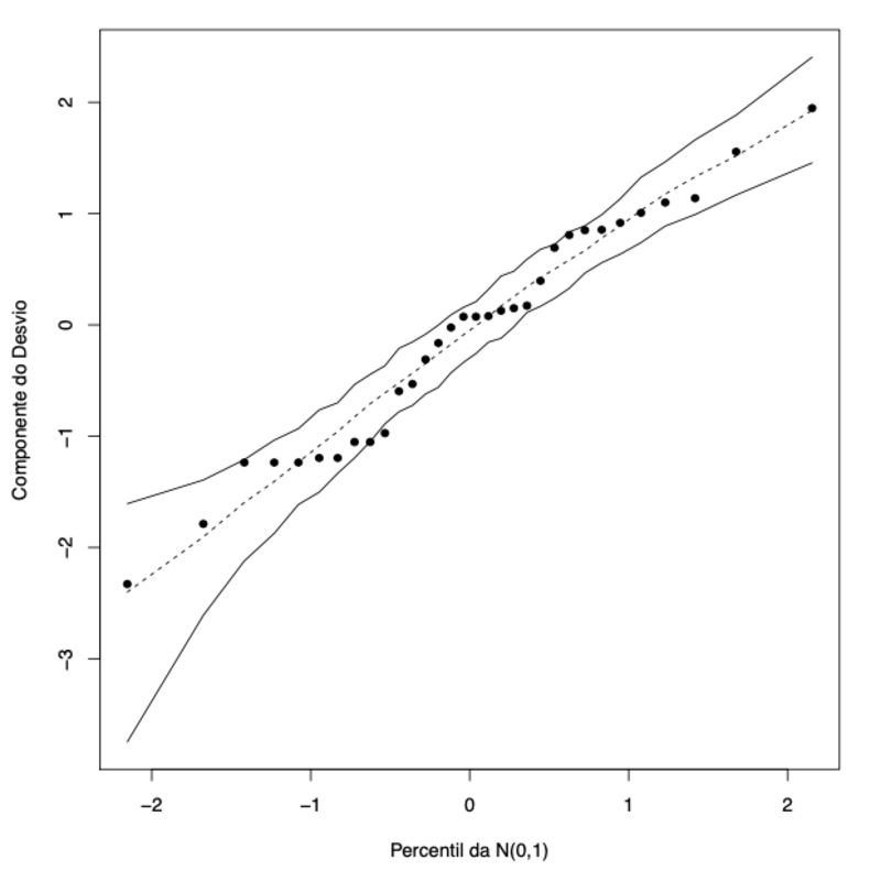
O impacto é bastante alto, dado que o valor esperado para a retirada das duas observações seria de 6,25. Isso acontece pois a adequação do modelo e a existência de observações atípicas estão influenciando diretamente no ajuste. Essa adequação pode ser vista na figura abaixo

Não observamos pontos muito fora do envelope, porém observamos pontos muito fora do alinhamento. Por conseguinte, há indicação de observações atípicas, e que o modelo seja inadequado.
Conclusão
O que foi visto na análise descritiva se refletiu no ajuste do modelo, as variáveis voltagem e temperatura são extremamente significativas para a resistência do vidro. Mesmo o ajuste Gamma não sendo o melhor.
A voltagem 350kV diminui cerca de 522,25 a resistência do vidro, já a temperatura $180$c aumenta a resistência do vidro em 159,00. Porem, quando fazemos a interação das duas variáveis que é o que realmente interessa, ja que a produção de vidro depende dessas duas variáveis, temos que a voltagem 250kV e a temperatura 180c diminui cerca de 608,25 a resistência do vidro em comparação a voltagem 200kV e a temperatura 170c.
O que podemos afirmar, segundo os dados, que, para se obter uma maior resistência dos vidros, devemos manter em temperatura a 170c e a voltagem 200kV.
R
|
|